Amino Acid Structures
BACK to the initial AMINO ACID page.


117x101x2c GIF of Alanine
Alanine

313x93x2c GIF of Arginine
Arginine**

167x106x2c GIF of Asparagine
Asparagine

158x106x2c GIF of Aspartic acid
Aspartic acid

134x109x2c GIF of Cysteine
Cysteine

209x101x2c GIF of Glutamine
Glutamine

199x101x2c GIF of Glutamic acid
Glutamic acid

117x101x2c GIF of Glycine
Glycine

215x87x2c GIF of Histidine
Histidine**

196x109x2c GIF of Isoleucine
Isoleucine*

149x113x2c GIF of Leucine
Leucine*

313x93x2c GIF of Lysine
Lysine*

313x93x2c GIF of Methionine
Methionine*

169x111x2c GIF of Phenylalanine
Phenylalanine*

117x101x2c GIF of Proline
Proline

134x109x2c GIF of Serine
Serine

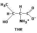
127x114x2c GIF of Threonine
Threonine*

198x116x2c GIF of Tryptophan
Tryptophan*

193x112x2c GIF of Tyrosine
Tyrosine

127x114x2c GIF of Valine
Valine*


* Indispensable (dietarily essential) amino acid
** Indispensable amino acid, depending upon species and maturity or physiological state (e.g.: growth, maintenance, reproduction).
BACK to the initial AMINO ACID page.


This page updated by G. R. Frank.